일반적으로 회로는 다이오드, 트랜지스터, 기타 등등... 다양한 active 소자로 이루어진다.
그런데 이러한 소자들은 전류와 전압의 관계가 이차함수, 지수함수, 로그함수 등의 복잡한 관계를 가진다.
이를 선형적인 관계로 근사시킬 수 있는 것이 바로 Small signal(소신호) 기법이다.
예시를 하나 들어보자.

위와 같은 회로에서 V_ad를 3V에서 3.1V로 올렸을 때, V_out은 어떻게 변할까?
다이오드에 걸리는 전압과 R1에 걸리는 전압을 합친 값이 3.1V가 돼야한다.
저항의 전류와 전압의 관계는 linear인데, 다이오드는 관계가 exponential이다.
구해보면 알겠지만... 바로 구할 수 있는 마땅한 방법이 없어서 iteration을 통해서 구해야 하는데, 이 과정이 시간이 오래 걸린다. iteration을 하면 약 2.411V라는 값이 나온다.
여기서 small signal을 활용할 수 있다.

위 그림에서 A점에서 B점으로 값이 변한다고 하자. 전에 말했던 예시에서도 볼 수있듯이 exponential한 관계를 그대로 적용하여 B로의 변화된 값을 측정하려 하면 상당히 복잡해진다.
하지만 A에서 B까지의 변화가 linear하다고 근사시키면...?
즉 A에서의 접선을 통해 B값을 구한다면 굉장히 편해질 것이다. 물론, V_D의 변화가 충분히 작아야 오차가 적어질 것이다.

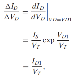
다이오드의 관계식에서 미분을 통해 접선의 기울기를 이렇게 구할 수 있다.

전류나 전압의 변화를 이렇게 linear한 관계로 표현할 수 있게 된다.
그런데 이렇게 작은 변화를 linear한 관계로 표현할 때, 변화 지점이 어디인지에 따라서 기울기가 달라질 수 있다.
변화되는 지점, 위에서는 A 지점을 "bias point", "operation point"라고 하며 A 지점의 신호를 Large-signal이라고 한다.
보통 회로에서 Large-signal을 먼저 분석한 후, 이 지점에서의 기울기를 구해 Small-signal로 간단하게 분석할 수 있다.
트랜지스터를 사용한 amplifier 등에서도 이는 유용하게 사용된다.
트랜지스터를 적절하게 biasing 해주면 transconductance를 구할 수 있고, small signal과 transconductance를 활용하여 Small signal의 변화에 따른 시스템의 출력의 변화를 쉽게 구할 수 있다.